Login

Welcome, Guest. Please login or register.

October 28, 2025, 09:36:06 am

Author Topic: Regarding Diff/Anti-Diff hence questions  (Read 1845 times)  Share 

0 Members and 1 Guest are viewing this topic.

hyperblade01

  • Victorian
  • Forum Obsessive
  • ***
  • Posts: 442
  • Respect: +3
Regarding Diff/Anti-Diff hence questions
« on: October 18, 2009, 02:29:47 pm »
0
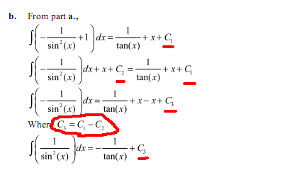
So you get those questions with differentiate this, hence antidifferentiate that and usually you have to rearrange what you got in part 1 to get the answer to part 2:





Do we really need to use c1, c2, c3 etc or can we just stick with one +c - i guess it is kinda wrong as the value will change but are they pedantic on it?
2008: Accounting
2009: Chemistry, Biology, Methods CAS, Specialist, English Language
ENTER: 99.10

BCom/BEco @ Monash University

TrueTears

  • TT
  • Honorary Moderator
  • Great Wonder of ATAR Notes
  • *******
  • Posts: 16363
  • Respect: +667
Re: Regarding Diff/Anti-Diff hence questions
« Reply #1 on: October 18, 2009, 04:25:16 pm »
0
Well that way is the technical way, but I'm sure having just a + c at the end would be fine, I don't think they're gonna mark you down on that.
PhD @ MIT (Economics).

Interested in asset pricing, econometrics, and social choice theory.