Login

Welcome, Guest. Please login or register.

February 24, 2026, 01:11:55 pm

Author Topic: zee q helpz zeikenhoward  (Read 1746 times)  Share 

0 Members and 1 Guest are viewing this topic.

hard

  • Guest
zee q helpz zeikenhoward
« on: March 05, 2009, 09:07:46 pm »
0

i need help with b) and c). Althought i've done b which = 3.

and



thanks

TrueTears

  • TT
  • Honorary Moderator
  • Great Wonder of ATAR Notes
  • *******
  • Posts: 16363
  • Respect: +667
Re: zee q helpz zeikenhoward
« Reply #1 on: March 05, 2009, 09:10:26 pm »
0
hint for c) let = a then solve quadratic XD

so you have
 (a-1)(a-5) = 0

so a = 1 or 5

so when

x = 0

and a = 5 therefore

so

so since the other x coordinate is obviously the origin.


doing Q 11 now XD
« Last Edit: March 05, 2009, 09:14:22 pm by TrueTears »
PhD @ MIT (Economics).

Interested in asset pricing, econometrics, and social choice theory.

hard

  • Guest
Re: zee q helpz zeikenhoward
« Reply #2 on: March 05, 2009, 09:15:15 pm »
0
thanks and b..

TrueTears

  • TT
  • Honorary Moderator
  • Great Wonder of ATAR Notes
  • *******
  • Posts: 16363
  • Respect: +667
Re: zee q helpz zeikenhoward
« Reply #3 on: March 05, 2009, 09:22:27 pm »
0
oh soz i thought you did b)  but anyways

So as you can see on the graph, as x approaches - y approaches this asymptote

so limit x to - and as you can see if you sub in a VERY large number for x then and approach 0, so we are just left with y = 5 therefore a = 5
« Last Edit: March 05, 2009, 09:24:59 pm by TrueTears »
PhD @ MIT (Economics).

Interested in asset pricing, econometrics, and social choice theory.

jackinthepatch

  • Victorian
  • Forum Obsessive
  • ***
  • Posts: 375
  • Respect: +3
Re: zee q helpz zeikenhoward
« Reply #4 on: March 05, 2009, 09:25:00 pm »
0
Thank god I don't do methods.
VCE 2008:
Physical Education [50]
VCE 2009:
Business Management [49]
Biology [48]
Further Mathematics [44]
Chemistry [39]
English Language [36]

ENTER: 99.25

TrueTears

  • TT
  • Honorary Moderator
  • Great Wonder of ATAR Notes
  • *******
  • Posts: 16363
  • Respect: +667
Re: zee q helpz zeikenhoward
« Reply #5 on: March 05, 2009, 09:25:39 pm »
0
kk attempting Q 11 now XD
PhD @ MIT (Economics).

Interested in asset pricing, econometrics, and social choice theory.

hard

  • Guest
Re: zee q helpz zeikenhoward
« Reply #6 on: March 05, 2009, 09:26:32 pm »
0
lol thanks man

TrueTears

  • TT
  • Honorary Moderator
  • Great Wonder of ATAR Notes
  • *******
  • Posts: 16363
  • Respect: +667
Re: zee q helpz zeikenhoward
« Reply #7 on: March 05, 2009, 09:30:25 pm »
0
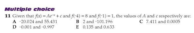
ok so for Q 11 we just make 2 equations by subbing in the given values





2 - 1 yields



factor out an A



which approximately = 0.135

obviously you can sub in A and work out c but here you dont because only E has A = 0.135, so the answer is E
PhD @ MIT (Economics).

Interested in asset pricing, econometrics, and social choice theory.

hard

  • Guest
Re: zee q helpz zeikenhoward
« Reply #8 on: March 05, 2009, 09:40:19 pm »
0
sweet thanks man