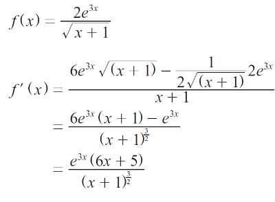
Could someone quickly run through how in the photo (maybe just break it down a bit), the working that went from line 2 to line 3.. too much happened I couldn't follow =o
(Image removed from quote.)
Also, are there any good methods of sketching graphs to a fractional power, without a calculator?
For example:
^{\frac{1}{5}})
I had troubles doing this accurately when I did a MAV Exam 1... (did pretty bad overall =[ )
Thanks guys!
sushi./ovazealous
The easiest way of sketching those graphs?
Let

where n does not have to be an integer


What's the point of this? We defined n>1, so the second derivative, or the rate of change of the first derivative, is negative. This means that the first derivative, or the slope, is always decreasing. When sketching

, always have your slope dropping.
However, as x becomes large, so does y, so make sure that you never actually draw in an asymptote.
Also, the first derivative is always positive, so make your graph always increasing.
Essentially, you just want to have it so that your function is always increasing, but its increase is slowing down and never flattens out despite looking like it should.
This is for x>0.
If your exponent is odd, then y will be defined for negative x as well, so just make a mirror image. At the origin, as 1-n<0,

is undefined, so make it vertical. Do this if n is even as well; for y = x^1/2, make the part of the curve at the origin appear vertical.
Of course, diagrams speak better than words so look at graphs on your calculator as a guide as well.