Login

Welcome, Guest. Please login or register.

November 01, 2025, 03:36:03 pm

Author Topic: Bubble's specialist questions  (Read 6759 times)  Share 

0 Members and 1 Guest are viewing this topic.

bubbles

  • Victorian
  • Trendsetter
  • **
  • Posts: 107
  • Respect: -1
Bubble's specialist questions
« on: August 16, 2008, 09:32:52 pm »
0


What I have done so far:


How do you do 1. c) (i) ?

cara.mel

  • Guest
Re: Bubble's specialist questions
« Reply #1 on: August 16, 2008, 09:56:36 pm »
0
In b) the volume is the integral from 0 to 30, not from -10 to 10, as you are rotating around y axis

For c i), I would guess do the integral again but from 0 to h, then differentiate it. There is probably an easier way and/or what I have said is wrong

Mao

  • CH41RMN
  • Honorary Moderator
  • Great Wonder of ATAR Notes
  • *******
  • Posts: 9181
  • Respect: +390
  • School: Kambrya College
  • School Grad Year: 2008
Re: Bubble's specialist questions
« Reply #2 on: August 16, 2008, 10:21:10 pm »
0
question 3:
















given (0,30) [very messy...]



hence, when h=0, t...

?!

[i still have a feeling its wrong...]
« Last Edit: August 16, 2008, 10:46:49 pm by Mao »
Editor for ATARNotes Chemistry study guides.

VCE 2008 | Monash BSc (Chem., Appl. Math.) 2009-2011 | UoM BScHon (Chem.) 2012 | UoM PhD (Chem.) 2013-2015

Mao

  • CH41RMN
  • Honorary Moderator
  • Great Wonder of ATAR Notes
  • *******
  • Posts: 9181
  • Respect: +390
  • School: Kambrya College
  • School Grad Year: 2008
Re: Bubble's specialist questions
« Reply #3 on: August 16, 2008, 10:47:00 pm »
0
yes, of course. thank you

it still feels too whacky
haha
Editor for ATARNotes Chemistry study guides.

VCE 2008 | Monash BSc (Chem., Appl. Math.) 2009-2011 | UoM BScHon (Chem.) 2012 | UoM PhD (Chem.) 2013-2015

shinny

  • VN MVP 2010
  • Honorary Moderator
  • ATAR Notes Legend
  • *******
  • Posts: 4327
  • Respect: +256
  • School: Melbourne High School
  • School Grad Year: 2008
Re: Bubble's specialist questions
« Reply #4 on: August 16, 2008, 11:01:41 pm »
0
It's a pretty ugly answer but it sorta sounds about right given that the rate of change of volume is in proportion to its height. So as it gets lower and lower, the rate of change gets infinitely small and the last few drops will take quite a while to clear. I'll verify the answer on CAS afterwards.

Now for the proper working out for Q2.






















EDIT: yep, checked with CAS and theres no algebra mistakes in your working out. Pretty sure its the right answer then as there's no fault in your method I'm pretty sure =\
« Last Edit: August 16, 2008, 11:08:42 pm by shinjitsuzx »
MBBS (hons) - Monash University

YR11 '07: Biology 49
YR12 '08: Chemistry 47; Spesh 41; Methods 49; Business Management 50; English 43

ENTER: 99.70


bubbles

  • Victorian
  • Trendsetter
  • **
  • Posts: 107
  • Respect: -1
Re: Bubble's specialist questions
« Reply #5 on: August 17, 2008, 12:37:37 am »
0
yep i get it now, thank you guys!
Nearest minute therefore (47606.62s) / 3600 = 13 hrs and 13 minutes
I'll confirm the answer to c) iii. once i get a hold of it sometime this week

bubbles

  • Victorian
  • Trendsetter
  • **
  • Posts: 107
  • Respect: -1
Re: Bubble's specialist questions
« Reply #6 on: August 18, 2008, 06:49:54 pm »
0
?!

[i still have a feeling its wrong...]

yep that's the correct answer in seconds

bubbles

  • Victorian
  • Trendsetter
  • **
  • Posts: 107
  • Respect: -1
Re: Bubble's specialist questions
« Reply #7 on: August 18, 2008, 07:10:08 pm »
0



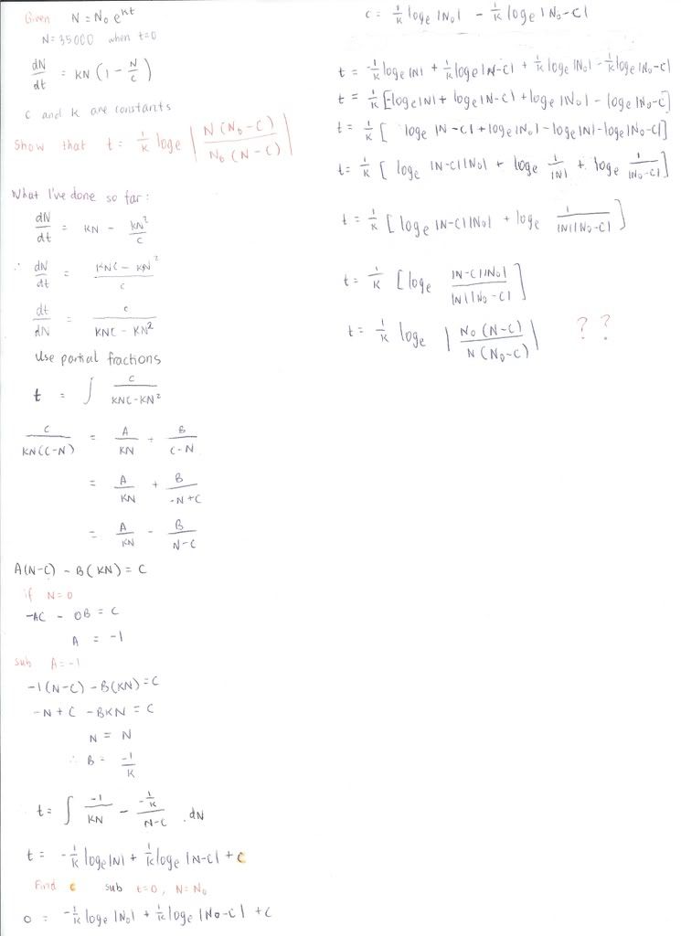
1d) I don't have the question with me but from memory: Given =
= found in part a) form a new rate of growth equation.
Any ideas?
« Last Edit: August 18, 2008, 07:14:34 pm by bubbles »

Mao

  • CH41RMN
  • Honorary Moderator
  • Great Wonder of ATAR Notes
  • *******
  • Posts: 9181
  • Respect: +390
  • School: Kambrya College
  • School Grad Year: 2008
Re: Bubble's specialist questions
« Reply #8 on: August 18, 2008, 07:45:49 pm »
0
initially looking at it, I don't see anything especially wrong with your workings [or i might have overlooked something]. So heres my workings:







    partial fractions

   

   

   





given



as required

1d) plug numbers into
« Last Edit: August 18, 2008, 07:53:33 pm by Mao »
Editor for ATARNotes Chemistry study guides.

VCE 2008 | Monash BSc (Chem., Appl. Math.) 2009-2011 | UoM BScHon (Chem.) 2012 | UoM PhD (Chem.) 2013-2015

Mao

  • CH41RMN
  • Honorary Moderator
  • Great Wonder of ATAR Notes
  • *******
  • Posts: 9181
  • Respect: +390
  • School: Kambrya College
  • School Grad Year: 2008
Re: Bubble's specialist questions
« Reply #9 on: August 18, 2008, 07:52:17 pm »
0
okay, found your problem, it was when you tried to work out the partial fraction
what should have happened is:



which is the negative of your expression
Editor for ATARNotes Chemistry study guides.

VCE 2008 | Monash BSc (Chem., Appl. Math.) 2009-2011 | UoM BScHon (Chem.) 2012 | UoM PhD (Chem.) 2013-2015

bubbles

  • Victorian
  • Trendsetter
  • **
  • Posts: 107
  • Respect: -1
Re: Bubble's specialist questions
« Reply #10 on: August 22, 2008, 12:18:59 am »
0
~kinematics
(I dropped physics this year and now it has come back to haunt me -___- )

An object moves in a line with velocity v m/s given by . The object starts from the origin. Find:
b) the maximum velocity
max velocity occurs when v'(t) = 0
differentiate v via quotient rule, therefore t=1
sub t=1 into v(t), hence = 0.5m/s
c) the distance travelled in the third second
?
d) the position-time relationship
how do you anti-differentiate again ?


enwiabe

  • Putin
  • ATAR Notes Legend
  • *******
  • Posts: 4358
  • Respect: +529
Re: Bubble's specialist questions
« Reply #11 on: August 22, 2008, 02:31:27 am »
0
v = dx/dt = t/(1+t^2)

You want the time travelled in the third second, so integrate t/(1+t^2) from t = 2 to t = 3 (I.E. the third second).

I'll give you a hint for the integral of t/(1+t^2) - it looks eerily like f'(x)/f(x), eh? ;)

Also, you don't need Physics to do well in the Physics part of spec! Specialist Maths goes WAY above and beyond Physics in terms of kinematics, so don't sweat it. :P

cara.mel

  • Guest
Re: Bubble's specialist questions
« Reply #12 on: August 22, 2008, 09:08:42 am »
0
You want the time travelled in the third second

I predict this is 1!

bubbles

  • Victorian
  • Trendsetter
  • **
  • Posts: 107
  • Respect: -1
Re: Bubble's specialist questions
« Reply #13 on: August 22, 2008, 10:54:02 pm »
0
I'll give you a hint for the integral of t/(1+t^2) - it looks eerily like f'(x)/f(x), eh? ;)

Thanks enwiabe i understand a) but I haven't yet grasped how to integrate t/(1+t^2).
okay this is going to expose how inept i am with specialist maths  :-[:



therefore ??

The answer is: where does the half come from?

Using the correct answer at the back:
c)
 
    (which is the correct answer)

cara.mel

  • Guest
Re: Bubble's specialist questions
« Reply #14 on: August 22, 2008, 11:02:15 pm »
0
Make the substituion

=>



Subbing this in to the equation



Then you can cancel the ts and finish it off and you see how the 1/2 ends up being there.
I would advise always using substitutions and writing out all the working vs trying to be clever and do it in your head, I stuff up too many times doing that :P